(EsPCEx - 2017)
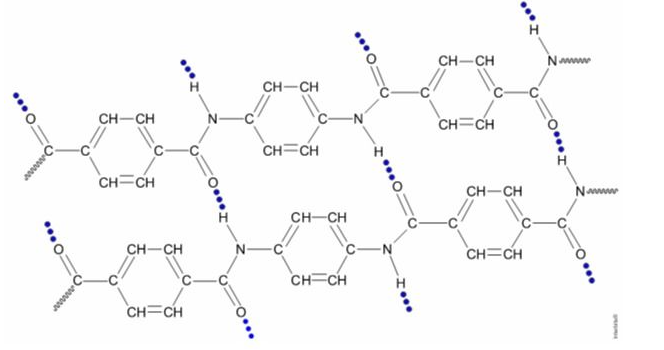
O polímero Kevlar® (poliparafenileno de tereftalamida), usado em materiais de proteção balística, foi descoberto pela química sueca Stephanie Kwolek, na tentativa de desenvolver um novo polímero para uso em pneus. Apresenta elevada resistência térmica e mecânica por suas cadeias estabelecerem uma rede polimérica, por meio de interações intermoleculares fortes. Pode ser sintetizado a partir da reação entre as substâncias 1,4-fenileno-diamina (1,4-diaminobenzeno) e ácido tereftálico (ácido 1,4-benzenodicarboxílico) como mostra a equação da reação a seguir:
Com relação a esta reação e às estruturas apresentadas, são feitas as seguintes afirmativas:
I. a hibridização de todos os carbonos nas estruturas dos reagentes é do tipo sp2;
II. a reação de obtenção do poliparafenileno de tereftalamida é classificada como de substituição, por adicionar uma molécula de água à estrutura do polímero;
III. o Kevlar é uma substância iônica de alta massa molecular;
IV. a fórmula molecular da substância 1,4-fenileno-diamina é C6H8N2;
V. as interações intermoleculares que mantêm as cadeias do Kevlar unidas, formando redes poliméricas, são do tipo ligações de hidrogênio (pontes de hidrogênio).
Estão corretas apenas as afirmativas
II e V.
III e IV.
I, IV e V.
III, IV e V.
I, II e IV.
Gabarito:
I, IV e V.
I. Correta.
Todos os carbonos fazem três ligações sigma e uma ligação pi. Para tal, é necessário três orbitais híbridos sp2 e um orbital atômico p.
II. Incorreta.
A reação de obtenção do poliparafenileno de tereftalamida é classificada como de condensação pois ocorre a saída de moléculas de água no processo.
III. Incorreta.
O Kevlar é uma substância covalente.
IV. Correta.
A fórmula molecular do 1,4-fenileno-diamina é C6H8N2.
V. Correta.
As interações intermoleculares que mantêm as cadeias do Kevlar unidas formando redes poliméricas são do tipo ligações de hidrogênio, representadas por pontos azuis na imagem abaixo:
