(ESPCEX 2019)
Muitas sínteses orgânicas podem ser realizadas como uma sequência de reações químicas. Considere a sequência de reações químicas representadas a seguir, como a monocloração de alcanos (1a etapa) e a reação de haletos orgânicos com compostos aromáticas (2a etapa).
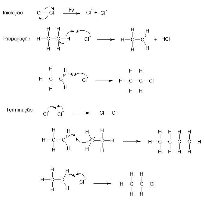
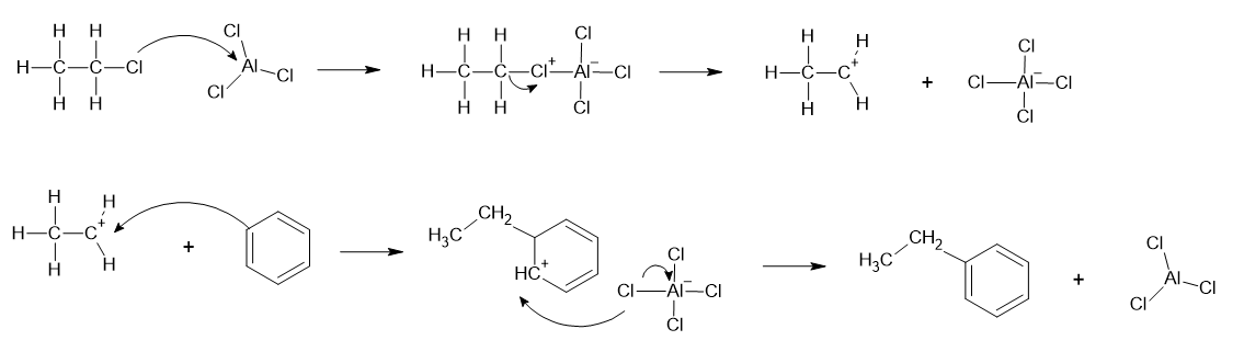
Para obtenção de um haleto orgânico, na primeira etapa é feita uma reação de halogenação (substituição de hidrogênios de compostos orgânicos por átomos de haletos como o cloro, denominada de reação de cloração"). Em seguida, na segunda etapa, é feito um processo conhecido por reação de alquilação de Friedel-Crafts("reação de haletos orgânicos com compostos aromáticos ou, simplesmente, a ligação de grupos alquila a estrutura de compostos orgânicos como anéis aromáticos").
Acerca das substâncias correspondentes, representadas genericamente pelas letras "A" e"B", são feitas as seguintes afirmativas:
I - O nome (aceito pela IUPAC) da substância "A" é cloroetano
II - O nome (aceito pela IUPAC) da substância "B" é o etilbenzeno.
III - Todos os carbonos da substância "B" apresentam hibridização sp
IV - A fórmula molecular da substância "B" é C8H10
V - O processo de alquilação, representado pela equação da reação na segunda etapa, pode ser classificado como reação de substituição.
Assinale a alternativa que apresenta todas as afirmativas corretas, dentre as listadas acima.
I, II e III
II, IV e V
I, IV e V
I, II, III e IV
I, II e IV
Gabarito:
II, IV e V
A primeira reação é a cloração, que é representada pelo mecanismo:

Já a segunda reação é uma alquilação de friedel-crafts que tem o mecanismo:

Analisando cada uma das alternativas:
I - Falsa. O nome da substância A é etano, já que possui dois carbonos saturados em cadeia carbono.
II - Verdadeira. O nome da substância B é etilbenzeno, já que possui uma ramificação etil no anel benzênico.
III - Falsa. A hibridação dos carbonos no etil benzeno é sp2 e sp3.

IV - Verdadeira. A fórmula molecular do etilbenzeno é C8H10.
V - Verdadeira. Na alquilação o cloro é substituído pelo anel benzênico.
Considerando as alternativas corretas, gabarito B.