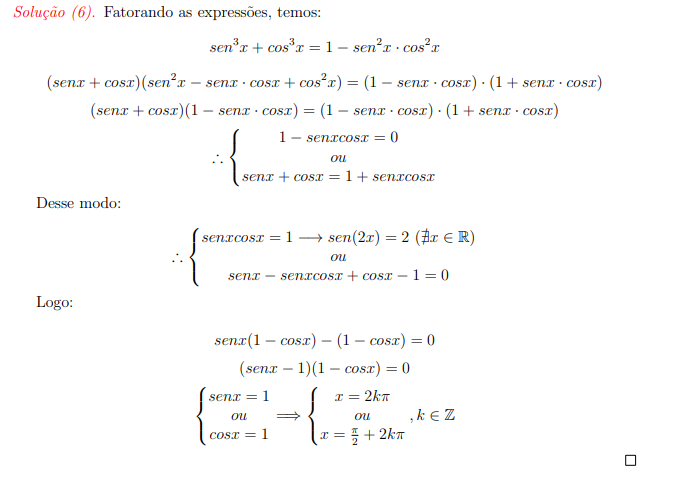
(IME 2007) Resolva a equação:
Gabarito:
Resolução:
