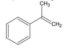
Um composto orgânico A, de fórmula molecular C9H10, quando tratado com hidrogênio, na presença de um catalisador, fornece um composto B de massa molecular duas unidades maior que A. Oxidando A ou B com KMnO4 e KOH, obtém-se o composto C, de fórmula molecular C7H5O2K. A reação de B com uma solução de HNO3 e H2SO4 fornece dois isômeros D e E. Finalmente, quando A é tratado com O3 e, em seguida, com zinco em pó, obtém-se um composto F, com fórmula molecular C8H8O, o qual apresenta resultado negativo no teste de Tollens. Com base nas informações acima, FORNEÇA as fórmulas estruturais planas dos compostos A, B, C, D, E e F e JUSTIFIQUE sua resposta, apresentando as respectivas reações
Gabarito:
Resolução:


