(IME - 2007/2008) Dá-se o nome de biotransformação à transformação de um fármaco, droga ou qualquer substância potencialmente tóxica, pelo organismo, em outra(s) substância(s), por meio de alterações químicas. Esta transformação, geralmente, processa-se sob ação de enzimas específicas, e ocorre, principalmente, no fígado, nos rins, nos pulmões e no tecido nervoso. Os principais objetivos da biotransformação são reduzir a toxidez da substância e lhe conferir solubilidade em água, para facilitar sua posterior excreção.
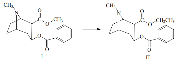
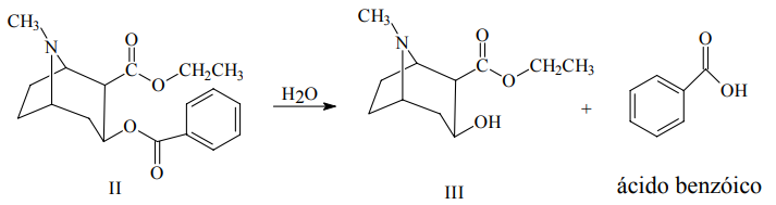
O composto I abaixo é uma conhecida droga de abuso que, ao ser consumida pelo ser humano, pode ser biotransformada através da conversão do seu éster de metila em éster de etila, dando origem ao composto II. A hidrólise subseqüente de um dos grupos éster do composto II leva à formação do ácido benzóico e do composto III.
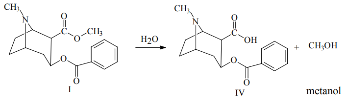
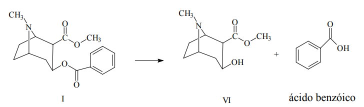
O composto I pode ainda sofrer mais três outras biotransformações, independentes umas das outras. Na primeira, o seu grupo éster de metila sofre hidrólise, dando origem ao metanol e ao composto IV. Na segunda, sua amina terciária é reduzida à amina secundária heterocíclica, originando o composto V. Na terceira, um de seus grupos éster sofre hidrólise, dando origem ao ácido benzóico e ao composto VI. Com base nas informações acima e a partir da estrutura do composto I dada abaixo, desenhe as estruturas dos compostos II, III, IV, V e VI.

Gabarito:
Resolução:




