(IME - 2008/2009) Determine as estruturas das substâncias identificadas pelas letras de A a J no esquema abaixo :

Gabarito:
Resolução:
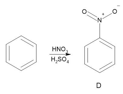
Nitração do benzeno:

Redução do nitrobenzeno:

Alquilação de Friedel-Crafts no benzeno:

Oxidação do etil benzeno:

Nitração do ácido benzoico:

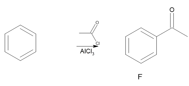
Acilação de Friedel-Crafts do benzeno:

Halogenação do benzeno:

Sulfonação do clorobenzeno:

Ozonólise do benzeno:
