[IME - 2011/2012 - 1ª FASE]
Dentre as opções abaixo, indique a única que não apresenta estereoisomeria.
3-metil-2-hexeno
2-penteno
Ácido butenodioico
Propenal
2-buteno
Gabarito:
Propenal
A estereoisomeria são isômeros que apresentam a mesma estrutura plana, mas se diferem na estrutura espacial.
Analisando as alternativas:
A) 3-metil-2-hexeno
INCORRETO. Esse composto apresenta estereoisomeria. Temos isomeria cis-trans:

B) 2-penteno
INCORRETO. Esse composto apresenta estereoisomeria. Temos isomeria cis-trans:

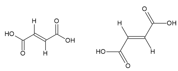
C) Ácido butenodioico
INCORRETO. Esse composto apresenta estereoisomeria. Temos isomeria cis-tran
D) Propenal
CORRETO. Não apresenta estereoisomeria. Não há presença de carbono quiral e não é possível ter isomeria cis-trans, uma vez que os ligantes de um do carbono são iguais.

E) 2-buteno
INCORRETO. Esse composto apresenta estereoisomeria. Temos isomeria cis-tran
