Publicidade
Publicidade

Questão 65566

ITA 1981
Matemática

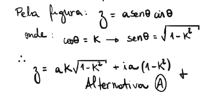
(ITA 1981) Sejam a e k constantes reais, onde a > 0 e 0 < k < 1. De todos os números complexos z que satisfazem |z - ai|  ak, qual possui menor argumento?

A

z= ak sqrt{1-k^2}+ ia(i-k^2)

B

z= ak sqrt{1-k^2}- ia(i-k^2)

C

z= ak sqrt{1-k^2}+ isqrt{i-k^2}

D

z= -k sqrt{1-k^2}-i(i-k^2)

E

a+ik

Gabarito:

z= ak sqrt{1-k^2}+ ia(i-k^2)



Resolução:

Questões relacionadas

Questão 7853

(Ita - 81) Qual o volume de um cone circular reto, se a área de sua superfície lateral é de 24π cm2 e o raio de sua base mede 4 cm?
Ver questão
Publicidade