(ITA - 2007 - 2 fase)
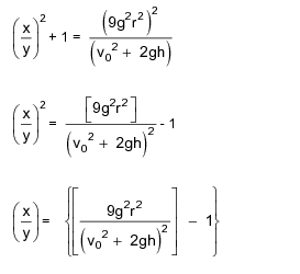
Um corpo de massa m e velocidade v0 a uma altura h desliza sem atrito sobre uma pista que termina em forma de semi-circunferência de raio r, conforme indicado na figura. Determine a razão entre as coordenadas x e y do ponto P na semi-circunferência, onde o corpo perde o contato com a pista. Considere a aceleração da gravidade g.

Gabarito:
Resolução:

