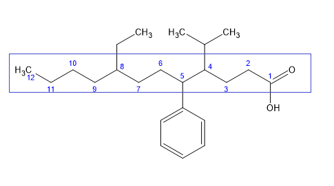
(EsPCEx - 2015)
O composto representado pela fórmula estrutural, abaixo, pertence à função orgânica dos ácidos carboxílicos e apresenta alguns substituintes orgânicos, que correspondem a uma ramificação como parte de uma cadeia carbônica principal, mas, ao serem mostrados isoladamente, como estruturas que apresentam valência livre, são denominados radicais.
(Texto adaptado de: Fonseca, Martha Reis Marques da, Química: química orgânica, pág 33, FTD, 2007).
O nome dos substituintes orgânicos ligados respectivamente aos carbonos de número 4, 5 e 8 da cadeia principal, são
etil, toluil e n-propil.
butil, benzil e isobutil.
metil, benzil e propil.
isopropil, fenil e etil.
butil, etil e isopropil.
Gabarito:
isopropil, fenil e etil.
A cadeia principal desse composto é a que contém a função orgânica e o maior número de carbonos. Está marcada em azul e enumerada na imagem abaixo:

Essas são as ramificações nos carbonos citados na questão:



Portanto, a alternativa correta é a letra D.