(EsPCEx - 2020)
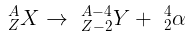
Ao emitir uma partícula Alfa (α), o isótopo radioativo de um elemento transforma-se em outro elemento químico com número atômico e número de massa menores. A emissão de uma partícula beta (β) por um isótopo radioativo de um elemento transforma-o em outro elemento de mesmo número de massa e número atômico uma unidade maior.
Baseado nessas informações são feitas as seguintes afirmativas:
I - Na desintegração ocorre com a emissão de uma partícula β.
II - Na desintegração ocorre com a emissão de uma partícula β.
III - A partícula Alfa (α) é composta por 2 prótons e 4 nêutrons.
IV - Uma partícula beta (β) tem carga negativa e massa comparável a do próton.
V - O urânio-238 (), pode naturalmente sofrer um decaimento radioativo emitindo sequencialmente 3 partículas alfa e 2 beta, convertendo-se em rádio (
).
I, II e IV.
I e V.
II e III.
II e V.
III, IV e V.
Gabarito:
II e V.
A partícula alfa (α) possui 2 prótons e 2 nêutrons, portanto, a massa é 4 e o número atômico é 2. Por consequência, quando um elemento emite uma partícula alfa, o novo elemento formado precisa ter massa 4 unidades menor e número atômico 2 unidades menor.

A partícula beta (β) é emitida quando um nêutron se desintegra formando um próton e um elétron energético (partícula β), portanto, não possui massa e a carga é -1. Por consequência, quando um elemento emite uma partícula β o número de massa permanece constante - já que o nêutron foi desintegrado mas um próton foi formado, mas o número atômico aumenta em uma unidade.
Partindo dessa análise inicial, analisamos cada uma das afirmativas:
I. Falsa. Quando há decaimento por emissão de partícula ,o número atômico do elemento aumenta de uma unidade para cada emissão.
II. Verdadeira. No decaimento apresentado, a massa permanece constante e o número atômica aumenta em uma unidade, o que caracteriza uma emissão β.
III. Falsa. A partícula alfa é composta por 2 prótons e 2 nêutrons.
IV. Falsa. A massa da partícula é comparável à do elétron
V. Verdadeira.
Considerando as afirmativas verdadeiras, gabarito D.