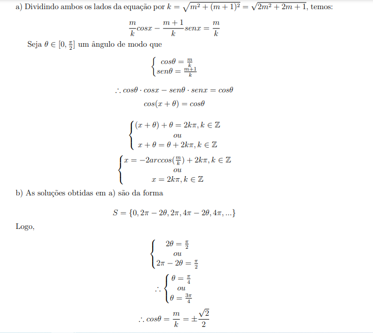
(IME/1985) a) Resolva a equação
a) mcosx − (m + 1)senx = m
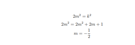
b) Determine m, de modo que essa equa¸c˜ao admita 2 raízes x1 e x2, cuja diferença seja π/2
Gabarito:
Resolução:
