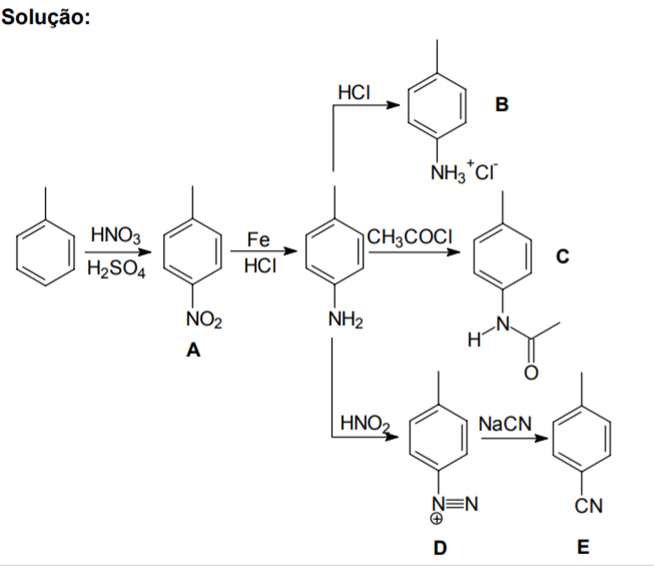
Determine, na sequência de reações abaixo, os principais produtos (A,B,C,D e E) em cada caso.

Gabarito:
Resolução:
