[IME- 2012/2013 - 2ª fase]
A adição de brometo de hidrogênio a propeno, na ausência de peróxidos, gera como produto principal o 2-bromopropano (adição Markovnikov). Entretanto, a mesma adição, na presença de peróxidos, leva principalmente à formação do 1-bromopropano (adição anti-Markovnikov). Proponha um mecanismo adequado para cada uma destas reações e explique a diferença observada com base nesses mecanismos.
Gabarito:
Resolução:
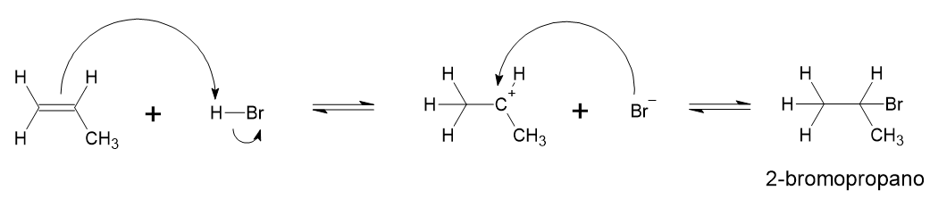
Mecanismo da adição de brometo de hidrogênio a propeno na ausência de peróxido:

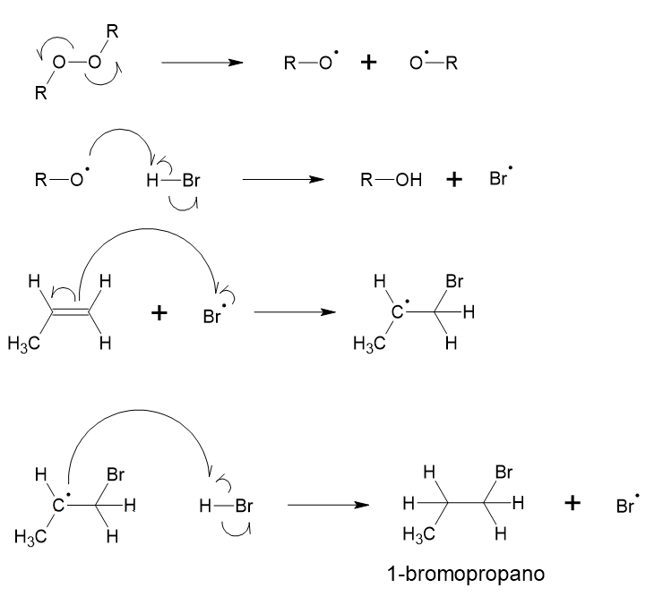
Mecanismo da adição de brometo de hidrogênio a propeno na presença de peróxido:

A reação na ausência de peróxidos passa por uma etapa em que forma-se um carbocátion. Pode-se formar um carbocátion primário ou secundário, mas como o carbocátion secundário é mais estável, o bromo é adicionado no carbono 2 e o produto da reação é o 2-bromopropano.
Na presença de peróxidos, o mecanismo da reação é radicalar. Como o radical secundário é mais estável que o radical primário, o produto da reação é o 1-bromopropano.