(IME - 2020/2021 - 2ª Fase)
O ácido pirúvico é um alfacetoácido que serve como intermediário no Ciclo de Krebs do metabolismo celular, cuja estrutura é demonstrada abaixo:
Em relação ao ácido pirúvico:
a) Escreva a fórmula estrutural plana de um isômero do ácido pirúvico;
b) Especifique se a conversão de ácido pirúvico em ácido lático (ácido 2-hidroxipropanoico), que pode ocorrer na respiração anaeróbica, trata-se de uma reação de redação ou uma reação de oxidação;
c) Escreva a fórmula estrutural plana do glicol (diol), que ao ser oxidado com o permanganato de potássio, produz o Ácido Pirúvico (obtenção laboratorial); e
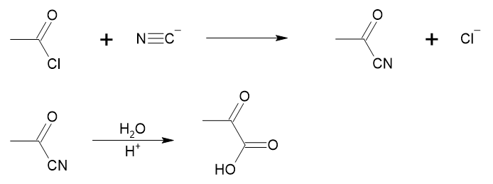
d) Escreva a fórmula estrutural plana do cloreto de acila, que após reagir com o cianeto de potássio, forma um intermediário, o qual é hidrolisado a ácido pirúvico (obtenção laboratorial).
Gabarito:
Resolução:
a)

b)

Um carbono reduz de nox + 2 para nox 0. Portanto, esta é uma reação de redução.
c)


d)
