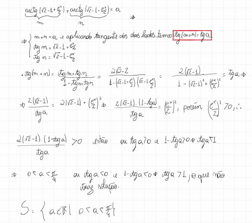
(ITA - 2003 - 2 FASE) Encontre todos os valores de ]
,
[ para os quais a equação na variável real x, arctg (
– 1+
) + arctg (
– 1 –
) = a, admite solução.
Gabarito:
Resolução:
