[IME- 2006/2007]
Sejam C e C* dois círculos tangentes exteriores de raios r e r* e centros O e O*, respectivamente, e seja t uma reta tangente comum a C e C* nos pontos não coincidentes A e A*. Considere o sólido de revolução gerado a partir da rotação do segmento AA* em torno do eixo OO*, e seja S a sua correspondente área lateral. Determine S em função de r e r*.
Gabarito:
Resolução:

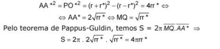
Olhando para o ângulo que tangencia a circunferência maior A^MQ, temos que o segmento MA=MQ. Da mesma forma, olhando para o ângulo A*^MQ, que tangencia a circunferência menor, temos que MA*= MQ. Portanto MA=MA*=MQ. Da figura temos que:
RESPOSTA: 4.r.r*