Publicidade
Publicidade

Questão 14

IME 2007
Matemática

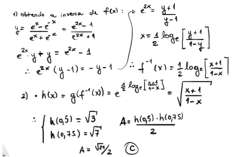
(IME - 2007/2008) Sejam f(x) = frac{e^{x} -e^{-x}}{e^{x} + e^{-x}}  e g(x) = e^x e h(x) = g(f^{-1}(x)). Se os valores da base e da altura de um triângulo são definidos por h(0,5) e h(0,75) respectivamente, a área desse triângulo é igual a:

A

frac{e}{2}

B

frac{sqrt{7}}{2}

C

frac{sqrt{21}}{2}

D

sqrt{10}

E

e

Gabarito:

frac{sqrt{21}}{2}



Resolução:

Questões relacionadas

Questão 1

(IME - 2007/2008) Determine o conjunto-solução da equação:
Ver questão

Questão 2

(IME - 2007/2008) Encontre o polinômio P(x) tal que  e é divisível por  , onde Q(x) é um polinômio do 6º grau.
Ver questão

Questão 10

(IME - 2007/2008) Considere todos os pontos de coordenadas (x,y) que pertençam à circunferência de equação . Determine o maior valor possível de 
Ver questão

Questão 1

(IME - 2007/2008)  QUESTÃO ANULADA De quantas maneiras n bolas idênticas podem ser distribuídas em três cestos de cores verde, amarelo e azul? a)  b)  c)&...
Ver questão
Publicidade