Publicidade
Publicidade

Questão 7

ITA 2010
Matemática

(ITA - 2010 - 1ª FASE)

A equação em x,

arctg(e^{x} + 2) - arccotg(frac{e^{x}}{e^{2x}-1}) = frac{pi}{4} x ∈ IR {0},

A
admite infinitas soluções, todas positivas.
B
admite uma única solução, e esta é positiva.
C
admite três soluções que se encontram no intervalo .
D
admite apenas soluções negativas.
E
não admite solução.

Gabarito: admite uma única solução, e esta é positiva.

Resolução:

      arctg(e^{x}+2)=alpha                                           arctog(frac{e^{x}}{e^{2x}-1})=eta

 

  tgalpha =(e^{x}+2)                                       cotgeta =(frac{e^{x}}{e^{2x}-1})            

tgeta =(frac{e^{2x}-1}{e^{x}})                                                   alpha - eta =frac{pi}{4}

 

Substituíndo e^{x}=a

tg(alpha-eta)=frac{(a+2)-(frac{a^{2}-1}{a})}{1+(a+2)(frac{a^{2}-1}{a})}=1

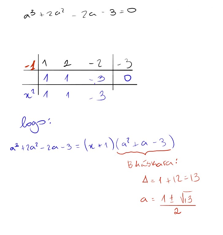
a^{3}+2a^{2}-2a-3=0

Sabendo que -1 é raiz podemos aplicar Briot-Ruffini:

a^{2}+a-3=0

a=frac{-1pm sqrt{13}}{2}

Tendo em vista que a=e^{x}>0 forall xepsilon mathbb{R}

Temos como única solução possível: 

x=In(frac{sqrt{13}-1}{2})

A equação em questão admite uma única solução, e esta é positiva.

Gabarito: b)

Questões relacionadas

Questão 1

(ITA - 2010) Considere as afirmações abaixo relativas a conjuntos A, B e C quaisquer: I. A negação de x ∈ A ∩  B é: x ∉ A ou x ∉ B. II. A...
Ver questão

Questão 3

Se z é uma solução da equação em , pode-se afirmar que
Ver questão

Questão 4

Os argumentos principais das soluções da equação em z, pertencem a
Ver questão

Questão 5

(ITA - 2010) Considere a progressão aritmética (a1, a2, ..., a50) de razão d. Se  e , então d – a1 é igual a
Ver questão
Publicidade