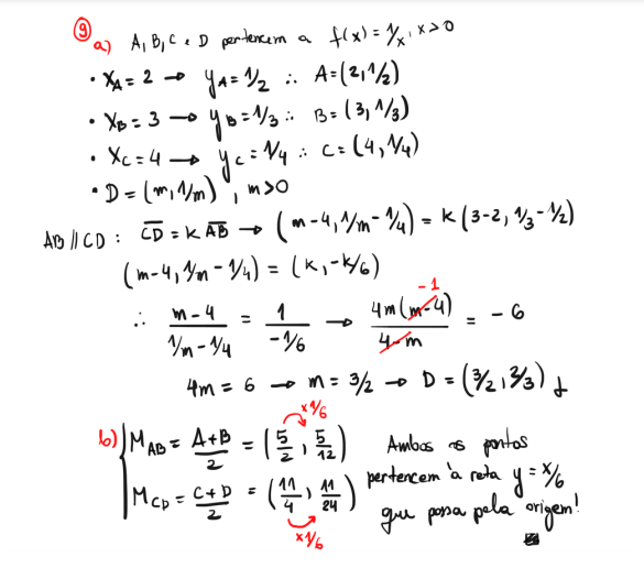
(UNICAMP - 2004 - 2 fase - Questão 10)
Os pontos A, B, C e D pertencem ao gráfico da função y = , x > 0. As abcissas de A, B e C são iguais a 2, 3 e 4, respectivamente, e o segmento AB é paralelo ao segmento CD.
a) Encontre as coordenadas do ponto D.
b) Mostre que a reta que passa pelos pontos médios dos segmentos AB e CD passa também pela origem
Gabarito:
Resolução:
