(FUVEST - 2004 - 1a fase)
Um lateral L faz um lançamento para um atacante A, situado 32 m à sua frente em uma linha paralela à lateral do campo de futebol. A bola, entretanto, segue uma trajetória retilínea, mas não paralela à lateral e quando passa pela linha de meio do campo está a uma distância de 12 m da linha que une o lateral ao atacante. Sabendo-se que a linha de meio do campo está à mesma distância dos dois jogadores, a distância mínima que o atacante terá que percorrer para encontrar a trajetória da bola será de:
18,8 m
19,2 m
19,6 m
20 m
20,4 m
Gabarito:
19,2 m
A reta que liga A à trajetória da bola e é perpendicular à tal trajetória representa a menor distância (segmento AP):

Os triângulos
e
são semelhantes:
(i)
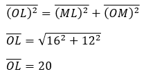
Por Pitágoras em
:
(ii)
Com (i) e (ii):

Alternativa correta é Letra B.