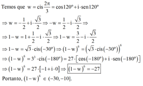
[IME - 2011/2012 - 1ª FASE] As raízes cúbicas da unidade, no conjunto dos números complexos, são representadas por 1, w e w2, onde w é um número complexo. O intervalo que contém o valor de (1 - w)6 é:
Gabarito:
( -30, -10]
Resolução:
