[IME- 2012/2013 - 2ª fase]
Existe um intervalo mínimo de tempo entre dois sons, conhecido como limiar de fusão, para que estes sejam percebidos pelo ouvido humano como sons separados. Um bloco desliza para baixo, a partir do repouso, em um plano inclinado com ressaltos igualmente espaçados que produzem ruídos. Desprezando o atrito do bloco com o plano inclinado e a força exercida pelos ressaltos sobre o bloco, determine o limiar de fusão de uma pessoa que escuta um ruído contínuo após o bloco passar pelo enésimo ressalto.
Observação: Despreze o tempo de propagação do som.
Dados:
Gabarito:
Resolução:
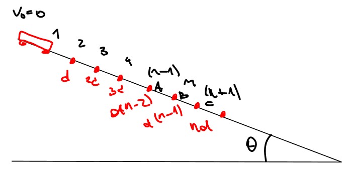
Ao sair do primeiro ressalto, adotando o ponto como a origem dos espaços, nenhum som é emitido. O diagrama a seguir mostra as posições dos sucessivos ressaltos, separados por d:

Entre os pontos A e B, ressaltos (n-1)º e nº, respectivamente, o som ainda não é emitido de forma contínua. Portanto, o intervalo de tempo entre esses pontos é maior que o limiar de fusão .
Entre B e C, ressaltos nº e (n+1)º, respectivamente, o som já é emitido de forma contínua. Assim, o intervalo entre esses pontos é menor ou igual que o limiar de fusão:
Portanto:
A aceleração escalar do bloco pode ser obtida normalmente, uma vez que o bloco desce um plano inclinado livre de atritos:
Da função horária do espaço no MUV:
Aplicando as equações de espaço nos pontos A,B e C:
Assim:
Analogamente:
Assim:
Substituindo tudo na inequação: