(IME - 2013/2014 - 1ª FASE) Seja uma função real definida por
. Sejam também a, b, c e d números reais tais que:
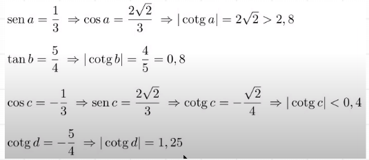
,
,
e
.
A relação de ordem, no conjunto dos reais, entre as imagens f(a), f(b), f(c) e f(d) é
Gabarito:
Primeiro vamos plotar o gráfico da função . As raízes são x= 0 ou x=pi.

Agora vamos representar os pontos a, b, c e d no eixo x do gráfico acima.
Para isso vamos analisar as cotangentes de cada ângulo dado.

Representando os ângulos achados no círculo trigonométrico no eixo das cotangentes temos:

Analisar o módulo das cotangentes é importante pois vemos que quanto maior a cotangente mais distante o ponto é do vértice em x ( que vale pi sobre dois) Representando a distância do ponto a ao ponto pi2 em azul, a do ponto b ao ponto pi2 em verde, a do ponto c ao ponto pi2 em laranja e a distância do ponto d ao ponto pi2 em vermelho:

Marcando os pontos no gráfico de f(x) temos:
Vemos, portanto que f(a)> f(d)> f(b) > f(c).