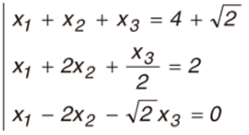
[ITA 2012 - 1 FASE] As raízes x1, x2 e x3 do polinômio estão relacionadas pelas equações:
e
Então, o coeficiente a é igual a:
Gabarito:
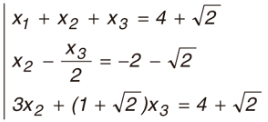
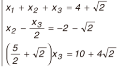
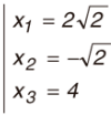
Resolução:




Gabarito: c)