Publicidade
Publicidade

Questão 312

ITA 2015
Matemática

(ITA - 2015 - 1ª FASE) Sejam α e β números reais tais que α, β, α + β ∈ ]0; 2π[ e satisfazem as equações

      e      

Então, o menor valor de cos(α + β) é igual a

A
B
C
D
E

Gabarito:

Resolução:

Tendo x=cosfrac{alpha }{2} e y.=cosfrac{eta }{3}  com frac{alpha }{2 } epsilon [0;pi ] e frac{eta }{3} epsilon [0;2pi ], obtemos:

 

egin{align*} x^{2} &= frac{4}{5}x^{4}+frac{1}{5}\ y^{2} &= frac{4}{7}y^{4}+frac{3}{7} end{align*}

egin{align*} 4x^{4} -5x^{2}&=0 \ 4y^{4}-7y^{2}+3 &= 0 end{align*}

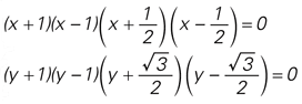
egin{align*} (x^{2}-1)(x^{2}-frac{1}{4}) &= 0\ (y^{2}-1)(y^{2}-frac{3}{4})&= 0 end{align*}

egin{align*} frac{alpha }{2} &= frac{pi }{3}\ frac{eta }{3} &= frac{pi }{6} end{align*}

 

Desse modo: 

alpha +eta =frac{7pi }{6}

Logo: 

cosfrac{7pi }{6}= - frac{sqrt{3}}{2}

Gabarito: b)

 

Questões relacionadas

Questão 302

Considere as seguintes afirmações sobre números reais: I. Se a expansão decimal de x é infinita e periódica, então x é um número racional. II. . III.  é um número racional. É (são) verdadeira...
Ver questão

Questão 303

(ITA - 2015 - 1ª FASE) Seja A, B e C os subconjuntos de  definidos por ,  e .  Então, é o conjunto 
Ver questão

Questão 304

(ITA - 2015 - 1ª FASE) Se , então o valor de 2 arcsen (Re(z)) + 5 arctg (2 Im(z)) é igual a
Ver questão

Questão 305

(ITA - 2015 - 1ª FASE) Seja C uma circunferência tangente simultaneamente às retas r : 3x + 4y - 4 = 0 e s : 3x + 4y - 19 = 0. A área do círculo determinado por C &eacu...
Ver questão
Publicidade