(ITA – 2015) (2ª fase) Na construção de um tetraedro, dobra-se uma folha retangular de papel, com lados de 3 cm e 4 cm, ao longo de uma de suas diagonais, de modo que essas duas partes da folha formem um ângulo reto e constituam duas faces do tetraedro. Numa segunda etapa, de maneira adequada, completa-se com outro papel as faces restantes para formar o tetraedro. Obtenha as medidas das arestas do tetraedro.
Gabarito:
Resolução:
Seja ABCD um retângulo que representa a folha usada na construção, com lados e
e seja a figura a seguir o tetraedro construído a partir dela, com altura BE em relação à aresta AC passando pelo ponto B:

Precisamos descobrir as medidas AC e BD para, para descobrirmos as arestas restantes.
Planificando a figura acima, podemos construir uma reta paralela a BE passando pelo ponto D. Dessa forma temos a seguinte figura:

Para calcular a diagonal AC, basta usarmos o teorema de Pitágoras, sendo assim temos:
Olhando para o triângulo retângulo ABC, temos:
Note que os triângulos AEB e DFC são congruentes, e por tanto, e que
Olhando para o triângulo AEB, temos que:
Olhando para a diagonal AC, temos:
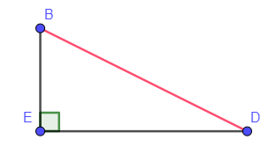
Agora olhando para o triângulo retângulo EFD, teremos:
Após calcularmos todos esses segmentos, agora podemos olhar para o triângulo retângulo BED.

Por tanto as medidas das arestas do tetraedro são:
,
,
,
,
e