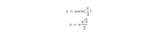
(IME - 2008/2009) Seja a uma constante real positiva, resolva a equação:

Gabarito:
Resolução:

