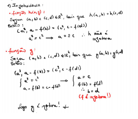
(IME - 2008/2009) Sejam f uma função bijetora de uma variável real, definida para todo conjunto dos números reais e as relações h e g, definidas por:
e
Pode-se afirmar que:
h e g são sobrejetoras.
h é injetora e g sobrejetora.
h e g não são bijetoras.
h e g não são sobrejetoras.
h não é injetora e g é bijetora.
Gabarito:
h não é injetora e g é bijetora.
